Bonnymede Bay Estates
JACKSON WEATHER

Bonnymede Bay Estates

About.


Bonnymede Bay Estates is a rural neighborhood located in Jackson County Michigan.

News.


Membership.


Dues are $150.00 per year.

Make check payable to Bonnymede HOA.

Mail to:
Bonnymede HOA c/o Treasurer
6424 Inverness Lane
Jackson, MI 49201

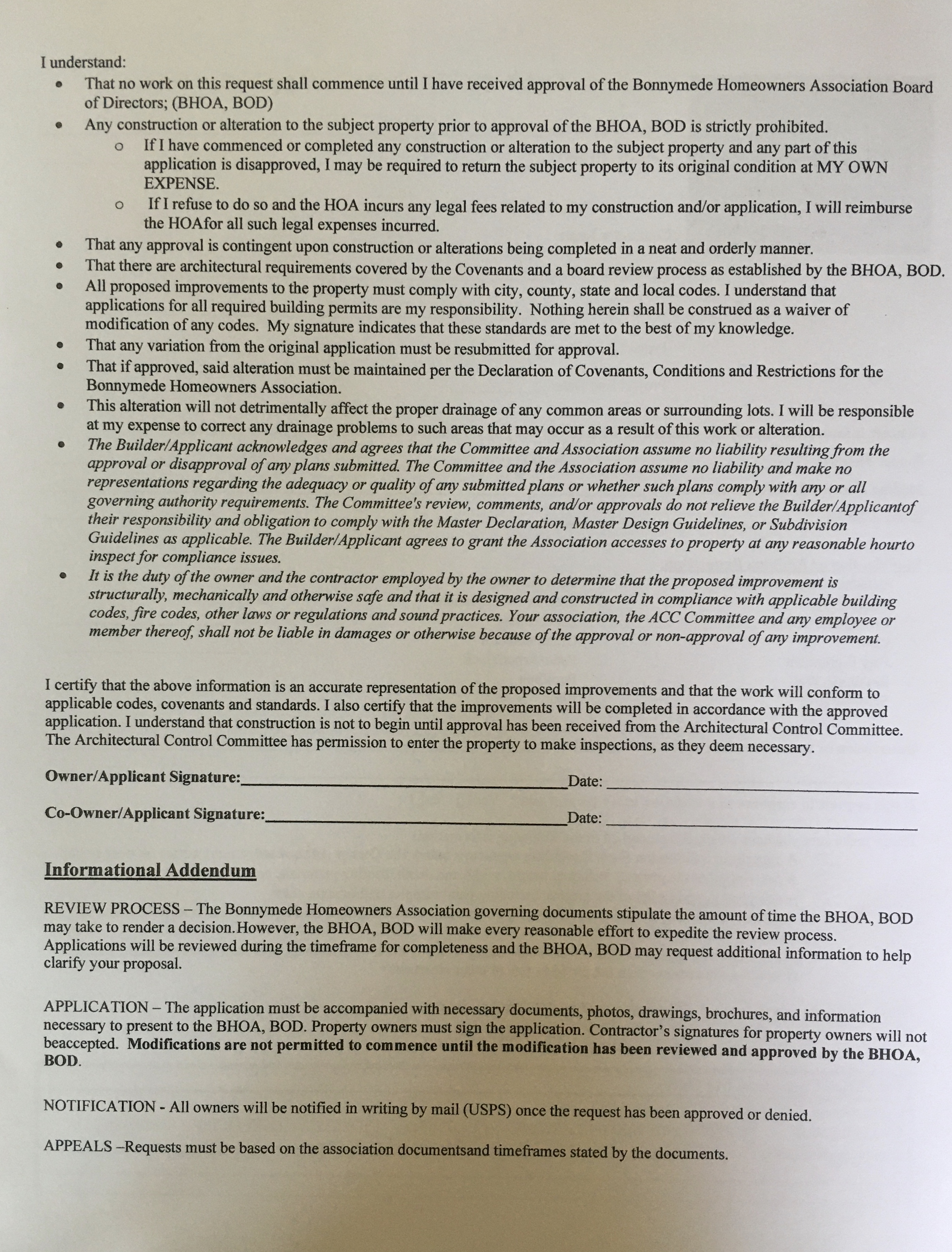
Architectural Improvement Form

Print and fill out both the front and back and return to the treasurer.

FRONT BACK

Events.


HOA Meeting Wednesday 09/17/2025 6:30 pm at the Marina

Click here to view and print the HOA proxy form

Board Meeting Minutes

Maintenance.


Channel Weed Control: Click here to read proposal

Neighborhood Road Maintenance

Contact.


For any questions or other feedback that you wish to share please send an email to: comments@bonnymedebayestates.com.